start | schüler | mathematik | Integralrechnen

Integralrechnen

Von der Idee zu den Rechenregeln

Wie kann ich die Fläche unter einer Kurve berechnen?

Wissen

Übung

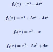
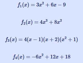
Flächenberechnung I

Wie kann ich die Fläche in bestimmten Grenzen berechnen?

Beispiel

Übung

Flächenberechnung II

Wie gehe ich vor, wenn der Graf die x-Achse kreuzt?

Beispiele

Übung

Flächenberechnung III

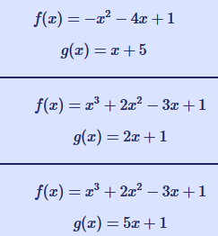
Wie berechnen ich die Fläche zwischen 2 Kurven?

Beispiel

Übung

Besondere Funktionen