start | schüler | mathematik | Differenzialrechnen

Differenzialrechnen

Steigung einer Funktion

Wissen

Übung

Ableitung einer Potenzfunktion

Übung

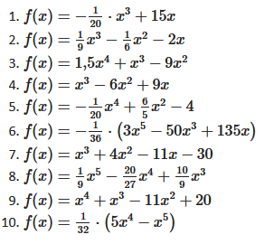
  • 8 Aufgaben zur Bestimmung der 1. Ableitung (inklusive Lösung)

    Station 13

Wissen, Beispiel

  • Ableitungsregeln- Potenz-, Produkt-, Quotienten- und Kettenregel werden an Beispielen dargestellt

    Regeln und Beispiele

Übung

  • Ableitungsregeln - Übungsaufgaben zur Anwendung der Ableitungsregeln

    Übung 2

Kurvendiskussion

Beispiele

Übung

Zu den Stationen "Einführung in die Differenzialrechnung;